ค่า Total Harmonic Distortion (THD) เป็นค่าบ่งบอกว่าในระบบมี Harmonics อยู่มากน้อยแค่ไหน
โดยค่า THD ที่มีค่าน้อยจะดีกว่ามีค่ามาก (0 หรือ 0% หมายถึงไม่มี Harmonics และ 1.0 หรือ 100% มี Harmonics สูงสุด)
งานทางด้านเกี่ยวกับอุปกรณ์ทางด้านเสียง การที่ THD มีค่าน้อยหมายความว่า อุปกรณ์นั้นมีความแม่นยำ มี noise รบกวนน้อย ทำให้เสียงมีคุณภาพดี คมชัด
ในด้าน Power การที่ THD มีค่าน้อยหมายความว่า ระบบมีความสูญเสียที่เกิดจาก Harmonic น้อย ความร้อนเกิดขึ้นน้อย ซึ่งส่งผลดีต่อระบบ
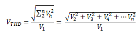
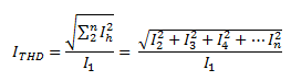
เราสามารถนิยาม THD ของแรงดัน และ กระแส ได้จาก สมการคำนวณ THD ซึ่งมีใช้กัน 2 แบบคือ
1.)คำนวณ THD แบบ IEC standard
นิยาม THD จาก IEC บอกไว้ว่า Total harmonic distortion, THD (abbreviation) :
the ratio of the rms value of the harmonic content of an alternating quantity to the rms value of the fundamental component of the quantity

โดย
Vh คือ Voltage RMS Harmonic order ต่างๆเริ่มตั้ง แต่ Order 2 ไปถึง n
V1 คือ Voltage RMS fundamental หรือ V order ที่1 (ไม่มี Harmonics)
h คือ order ของ Harmonics มีค่าตั้งแต่ order 2 เป็นต้นไป (h≥2)

โดย
Ih คือ Current RMS Harmonic order ต่างๆเริ่มตั้ง แต่ Order 2 ไปถึง n
I1 คือ Current RMS fundamental หรือ V order ที่1 (ไม่มี Harmonics)
h คือ order ของ Harmonics มีค่าตั้งแต่ order 2 เป็นต้นไป (h≥2)
จะเห็นได้ว่าจะมีโอกาสที่ THD จะมีค่าเกิน 100% (Harmonics รวมกันแล้วมากกว่า fundamental order 1)
2.) คำนวณ thd แบบ RMS (ใช้ตัวย่อ thd ตัวเล็กทั้งหมด)

โดย
V คือ Voltage RMS ที่มีพวกรวมของ Harmonics และ Fundamental order
I คือ Current RMS ที่มีพวกรวมของ Harmonics และ Fundamental order
จะเห็นได้ว่าจะไม่มีโอกาสที่ THD จะมีค่าเกิน 1.0 หรือ 100% มากที่สุดก็คือ 1.0 หรือ 100% เพราะ ค่า RMS ที่เป็นตัวหารจะมีค่าสูงสุดซึ่งเป็นค่าที่มีผลรวมของ Harmonics ทุก Order นั้นเอง
จะเห็นว่า THD จะคำนวณออกมาได้เป็นอัตราส่วน แต่ว่าส่วนใหญ่นิยมบอกค่าเป็นร้อยละเปอร์เซ็นต์ ส่วนวิธีคำนวณจะนิยมคำนวณตามนิยามแบบมาตรฐาน IEC กัน
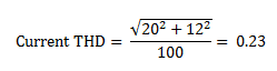
ตัวอย่างการคำนวณ THD (IEC)
ถ้าในระบบมีค่า Harmonic ของ Current ดังนี้
Fundamental current = 100 A
5th Harmonic component = 20 A
7th Harmonic component = 12 A

จะได้ว่า Current THD เท่ากับ 0.23 หรือ 23%.